UTAMA
PENGENALAN
PUSAT PENILAIAN APEL UTM
PERANAN PUSAT PENILAIAN APEL UTM
CARTA ORGANISASI
KEMASUKAN APEL
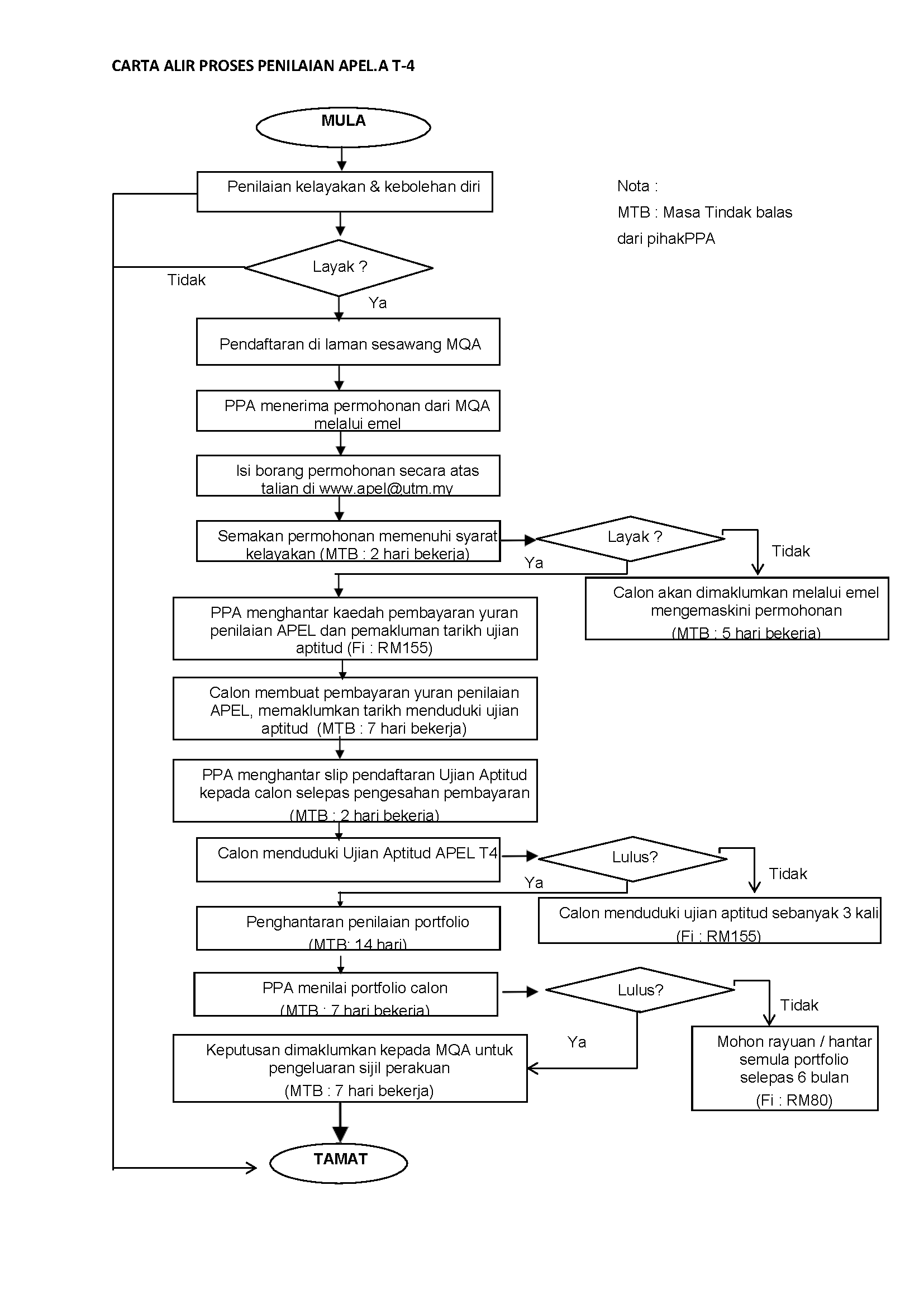
DIPLOMA (APEL-T4)
SARJANA MUDA (APEL-T6)
SARJANA (APEL-T7)
Bidang APEL di UTM
PERATURAN UJIAN
PENGESAHAN SALINAN ASAL
PENDAFTARAN ONLINE
DOWNLOAD
JADUAL AKTIVITI
FAQ APEL (A)
HUBUNGI KAMI
Select Page
CARTA ALIR DIPLOMA (APEL.A T4)
×